# 链表相交系列问题
🧩链表是数据结构中的一种基础且常用的数据类型,它在内存中通过节点的指针链接起来,形成一个动态的数据结构。
链表相交的应用:
链表相交是链表领域中一个引人瞩目的话题,它在算法题中有着许多实际应用。以下是一些链表相交问题的应用场景:
- 交点检测: 判断两个链表是否相交,如果相交,找到它们的交点。这类问题常常出现在系统设计中,例如交叉路口的监控系统,需要检测不同方向车辆的行驶情况。
- 环检测: 判断链表中是否存在环,如果存在,找到环的起始点。这类问题与链表相交类似,可以用于检测系统中的资源循环利用或者避免死锁的场景。
- Y型交叉: 有时两个链表可能在某一点后合并为一个链表,形成Y型。解决这类问题可以应用于用户行为分析,通过用户的历史行为和当前行为的交叉点推测用户兴趣点。
- 并发操作: 在并发编程中,链表相交问题也有着一定的应用。例如,多个任务同时操作链表,需要确保线程安全和避免数据竞争。
# 环形链表 (opens new window)
# 算法流程
给定一个链表,返回链表开始入环的第一个节点。 从链表的头节点开始沿着 next 指针进入环的第一个节点为环的入口节点。如果链表无环,则返回 null。
为了表示给定链表中的环,我们使用整数 pos 来表示链表尾连接到链表中的位置(索引从 0 开始)。 如果 pos 是 -1,则在该链表中没有环。注意,pos 仅仅是用于标识环的情况,并不会作为参数传递到函数中。
**说明:**不允许修改给定的链表。
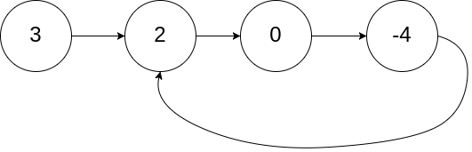
示例 1:

输入:head = [3,2,0,-4], pos = 1
输出:返回索引为 1 的链表节点
解释:链表中有一个环,其尾部连接到第二个节点。
1
2
3
2
3
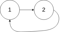
示例 2:

输入:head = [1,2], pos = 0
输出:返回索引为 0 的链表节点
解释:链表中有一个环,其尾部连接到第一个节点。
1
2
3
2
3
示例 3:

输入:head = [1], pos = -1
输出:返回 null
解释:链表中没有环。
1
2
3
2
3

我们有如上这个链表,下面演示算法流程:

# 代码实现
func detectCycle(head *ListNode) *ListNode {
if head == nil || head.Next == nil || head.Next.Next == nil {
return nil
}
slow, fast := head.Next, head.Next.Next
for slow != fast {
if fast == nil || fast.Next == nil {
return nil
}
slow = slow.Next
fast = fast.Next.Next
}
slow = head
for slow != fast {
slow = slow.Next
fast = fast.Next
}
return slow
}
1
2
3
4
5
6
7
8
9
10
11
12
13
14
15
16
17
18
19
2
3
4
5
6
7
8
9
10
11
12
13
14
15
16
17
18
19
# 无环相交链表 (opens new window)
给定两个单链表的头节点 headA 和 headB ,请找出并返回两个单链表相交的起始节点。如果两个链表没有交点,返回 null 。
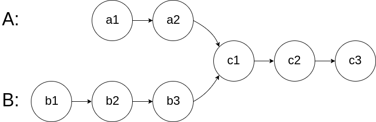
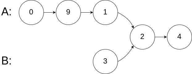
图示两个链表在节点 c1 开始相交**:**
题目数据 保证 整个链式结构中不存在环。
注意,函数返回结果后,链表必须 保持其原始结构 。
示例 1:
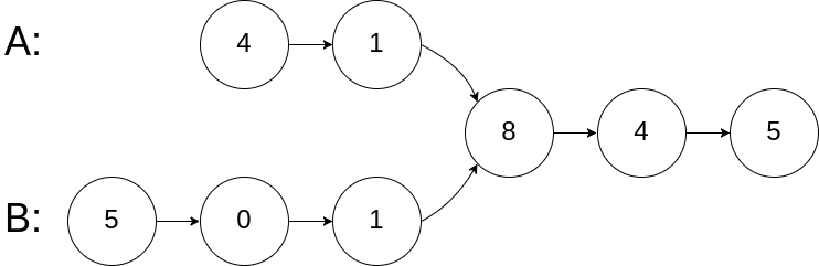
输入:intersectVal = 8, listA = [4,1,8,4,5], listB = [5,0,1,8,4,5], skipA = 2, skipB = 3
输出:Intersected at '8'
解释:相交节点的值为 8 (注意,如果两个链表相交则不能为 0)。
从各自的表头开始算起,链表 A 为 [4,1,8,4,5],链表 B 为 [5,0,1,8,4,5]。
在 A 中,相交节点前有 2 个节点;在 B 中,相交节点前有 3 个节点。
1
2
3
4
5
2
3
4
5
示例 2:
输入:intersectVal = 2, listA = [0,9,1,2,4], listB = [3,2,4], skipA = 3, skipB = 1
输出:Intersected at '2'
解释:相交节点的值为 2 (注意,如果两个链表相交则不能为 0)。
从各自的表头开始算起,链表 A 为 [0,9,1,2,4],链表 B 为 [3,2,4]。
在 A 中,相交节点前有 3 个节点;在 B 中,相交节点前有 1 个节点。
1
2
3
4
5
2
3
4
5
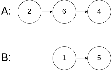
示例 3:
输入:intersectVal = 0, listA = [2,6,4], listB = [1,5], skipA = 3, skipB = 2
输出:null
解释:从各自的表头开始算起,链表 A 为 [2,6,4],链表 B 为 [1,5]。
由于这两个链表不相交,所以 intersectVal 必须为 0,而 skipA 和 skipB 可以是任意值。
这两个链表不相交,因此返回 null 。
1
2
3
4
5
2
3
4
5
# 算法流程

# 代码实现
func getIntersectionNode(headA, headB *ListNode) *ListNode {
if headA == nil || headB == nil {
return nil
}
p1, p2 := headA, headB // 初始两个指针分别指向两个链表的头部
n := 0 // 初始化n记录步长
for p1.Next != nil {
p1 = p1.Next // 第一个链表开始走,直到走到最后一个节点
n++ // 记录走过的步数
}
for p2.Next != nil {
p2 = p2.Next // 第二个链表开始走,直到走到最后一个节点
n-- // 每走一步第一个指针走过的步数减一,最后得到步数差
}
if p1 != p2 { // p1 p2 不相等则不相交,直接返回nil
return nil
}
p1, p2 = headA, headB // 回到开头
if n < 0 { // 如果n小于0,则p1走的步数小于p2
p1, p2 = p2, p1 // 调换p1 与 p2,使p1始终指向长一点的链表
}
n = abs(n)
for n != 0 { // 长的链表先走步差
p1 = p1.Next
n--
}
for p1 != p2 { // 同时走找到第一个相遇的节点,即为第一个相交的节点
p1 = p1.Next
p2 = p2.Next
}
return p1
}
func abs(n int) int {
if n < 0 {
return -n
}
return n
}
1
2
3
4
5
6
7
8
9
10
11
12
13
14
15
16
17
18
19
20
21
22
23
24
25
26
27
28
29
30
31
32
33
34
35
36
37
38
39
2
3
4
5
6
7
8
9
10
11
12
13
14
15
16
17
18
19
20
21
22
23
24
25
26
27
28
29
30
31
32
33
34
35
36
37
38
39
# 有环链表相交
给定两个可能有环也可能无环的单链表, 头节点head 1和head 2。请实现一个函数,如果两个链表相交,请返回相交的第一个节点。如果不相交, 返回null
# 算法流程
先判断两个链表是否都有环,都无环,则使用无环相交链表函数即可
如果一个有环,一个无环,则不可能相交
如果两个都有环,则有如下两种情况
成环的节点一样,则以成环的节点为终点,采用无环相交链表的算法可以得到交点

成环的节点不一样,有以下两种情况,判断以下两个节点是否在一个环内即可

# 代码实现
func loopGetIntersectionNode(headA, headB *ListNode) *ListNode {
if headA == nil || headB == nil {
return nil
}
loop1, loop2 := detectCycle(headA), detectCycle(headB)
if loop1 == nil && loop2 == nil {
return getIntersectionNode(headA, headB)
}
if loop1 != nil && loop2 != nil {
return bothLoop(headA, loop1, headB, loop2)
}
return nil
}
func bothLoop(headA, loopA, headB, loopB *ListNode) *ListNode {
if loopA == loopB {
p1, p2 := headA, headB
n := 0
for p1.Next != loopA {
p1 = p1.Next
n++
}
for p2.Next != loopA {
p2 = p2.Next
n--
}
if n < 0 {
p1, p2 = p2, p1
}
n = abs(n)
for n != 0 {
p1 = p1.Next
n--
}
for p1 != p2 {
p1 = p1.Next
p2 = p2.Next
}
return p1
} else {
cur := loopA.Next
for cur != loopA {
if cur == loopB {
return loopA
}
cur = cur.Next
}
return nil
}
}
1
2
3
4
5
6
7
8
9
10
11
12
13
14
15
16
17
18
19
20
21
22
23
24
25
26
27
28
29
30
31
32
33
34
35
36
37
38
39
40
41
42
43
44
45
46
47
48
49
50
51
2
3
4
5
6
7
8
9
10
11
12
13
14
15
16
17
18
19
20
21
22
23
24
25
26
27
28
29
30
31
32
33
34
35
36
37
38
39
40
41
42
43
44
45
46
47
48
49
50
51



